Manual Vacuum Aspiration Rvs Code - Ebook And Manual Free

Have Medicare What To Know For Penile Implant Surgery Costs

Have Medicare What To Know For Penile Implant Surgery Costs

Https 168 183 36 249 Secure Policy Omnibus Codes Pdf

Https 168 183 36 249 Secure Policy Omnibus Codes Pdf

2 Current Procedural Terminology Cpt Codes

2 Current Procedural Terminology Cpt Codes

Atherosclerosis Risk In Communities Aric Cohort

Atherosclerosis Risk In Communities Aric Cohort

Federal Register Medicare Program Revisions To Payment Policies Under The Physician Fee Schedule Clinical Laboratory Fee Schedule Access To Identifiable Data For The Center For Medicare And Medicaid Innovation Models Amp

Federal Register Medicare Program Revisions To Payment Policies Under The Physician Fee Schedule Clinical Laboratory Fee Schedule Access To Identifiable Data For The Center For Medicare And Medicaid Innovation Models Amp

Plastic Mva Kit Manual Vacuum Aspiration Cpt Code For Wholesales Buy Ipas Mva Kit Manual Vacuum Aspiration Cpt Code Manual Uterine Aspirator Product On Alibaba Com

Plastic Mva Kit Manual Vacuum Aspiration Cpt Code For Wholesales Buy Ipas Mva Kit Manual Vacuum Aspiration Cpt Code Manual Uterine Aspirator Product On Alibaba Com

Https Encrypted Tbn0 Gstatic Com Images Q Tbn 3aand9gcqlaafhfzie3528bwkh4y Uouadzt7icwnopbikdjudn R4f N Usqp Cau

Https Encrypted Tbn0 Gstatic Com Images Q Tbn 3aand9gcqlaafhfzie3528bwkh4y Uouadzt7icwnopbikdjudn R4f N Usqp Cau

Anesthesia For Labor And Delivery

Anesthesia For Labor And Delivery

Https Manuals Health Mil Displaymanualpdffile Tp08 144 Asof Tp08 C4s15 1 Pdf

Https Manuals Health Mil Displaymanualpdffile Tp08 144 Asof Tp08 C4s15 1 Pdf

Pin On Medical Coding And Billing

Pin On Medical Coding And Billing

Http Hcmarketplace Com Supplemental 3995 Acmaterials Pdf

Http Hcmarketplace Com Supplemental 3995 Acmaterials Pdf

Http Www Ndhealth Gov Womensway Image Cache 2013 Whats Covered Ww Cpt Code List Pdf

Http Www Ndhealth Gov Womensway Image Cache 2013 Whats Covered Ww Cpt Code List Pdf

Http Www Puanet Org Images Downloadable Links Annex2 Listofprocedurecaserates Pdf

Http Www Puanet Org Images Downloadable Links Annex2 Listofprocedurecaserates Pdf

Https Www Parkviewmc Com App Files Public 2747 Compilation Of Inpt Only 2018 Pdf

Https Www Parkviewmc Com App Files Public 2747 Compilation Of Inpt Only 2018 Pdf

Https Www Avhospital Org Home Getfile 204

Https Www Avhospital Org Home Getfile 204

Plastic Mva Kit Manual Vacuum Aspiration Cpt Code For Wholesales Buy Ipas Mva Kit Manual Vacuum Aspiration Cpt Code Manual Uterine Aspirator Product On Alibaba Com

Plastic Mva Kit Manual Vacuum Aspiration Cpt Code For Wholesales Buy Ipas Mva Kit Manual Vacuum Aspiration Cpt Code Manual Uterine Aspirator Product On Alibaba Com

Https Www Uhcprovider Com Content Dam Provider Docs Public Policies Medadv Guidelines P Percutaneous Image Guided Breast Biopsy Pdf

Https Www Uhcprovider Com Content Dam Provider Docs Public Policies Medadv Guidelines P Percutaneous Image Guided Breast Biopsy Pdf

Https Www Evicore Com Media Files Evicore Microsites Implementation Moda Health Moda Therapy Cptlist Pdf

Https Www Evicore Com Media Files Evicore Microsites Implementation Moda Health Moda Therapy Cptlist Pdf

Http Www Michigancancer Org Bcccp Pdfs Procedurecodereferencecharts Fy10procedurecodereferencechart Pdf

Http Www Michigancancer Org Bcccp Pdfs Procedurecodereferencecharts Fy10procedurecodereferencechart Pdf

Http Www Durbinglobal Com Assets Templates Assets Uploads Mva Presentation Jf 2015 Pdf

Http Www Durbinglobal Com Assets Templates Assets Uploads Mva Presentation Jf 2015 Pdf

Https Www Tricare West Com Content Dam Hnfs Tw Prov Auths Pdf Careaffiliate Guide Pdf

Https Www Tricare West Com Content Dam Hnfs Tw Prov Auths Pdf Careaffiliate Guide Pdf

Medicare Payment Reimbursement Cpt Code Icd Denial Guidelines Cpt Code Venipuncture 36415 And 36416 Billing Tips Not Seperately Paid

Medicare Payment Reimbursement Cpt Code Icd Denial Guidelines Cpt Code Venipuncture 36415 And 36416 Billing Tips Not Seperately Paid

Federal Register Medicare Program Revisions To Payment Policies Under The Physician Fee Schedule Clinical Laboratory Fee Schedule Access To Identifiable Data For The Center For Medicare And Medicaid Innovation Models Amp

Federal Register Medicare Program Revisions To Payment Policies Under The Physician Fee Schedule Clinical Laboratory Fee Schedule Access To Identifiable Data For The Center For Medicare And Medicaid Innovation Models Amp

Http Pubdocs Worldbank Org Pubdocs Publicdoc En 932391475721200418 Wbg Archives 901238 Pdf

Http Pubdocs Worldbank Org Pubdocs Publicdoc En 932391475721200418 Wbg Archives 901238 Pdf

2020 Drug Test Billing Codes Medical Distribution Group Inc

2020 Drug Test Billing Codes Medical Distribution Group Inc

2020 Drug Test Billing Codes Medical Distribution Group Inc

2020 Drug Test Billing Codes Medical Distribution Group Inc

Medical Coding Billing Aapc Cpc Ccs Hl7 Training 2017

Medical Coding Billing Aapc Cpc Ccs Hl7 Training 2017

Revised Debridement Codes Ama 11043 11044 Svy

Revised Debridement Codes Ama 11043 11044 Svy

You Be The Coder Wound Debridement And Wound Vacuum Of Abscess Supercoder Com

You Be The Coder Wound Debridement And Wound Vacuum Of Abscess Supercoder Com

Https Www Evicore Com Media Files Evicore Microsites Implementation Security Health Securityhealthplan Ptot Cptlist Upd05212019 Pdf

Https Www Evicore Com Media Files Evicore Microsites Implementation Security Health Securityhealthplan Ptot Cptlist Upd05212019 Pdf

Https Www Parkviewmc Com App Files Public 2278 Cpt Codes By Specialty Pdf

Https Www Parkviewmc Com App Files Public 2278 Cpt Codes By Specialty Pdf

Cpt Product Code List Catheter Ct Scan Free 30 Day Trial Scribd

Cpt Product Code List Catheter Ct Scan Free 30 Day Trial Scribd

Part 2 New 2020 Cpt Codes Musculoskeletal System Hiacode Com

Part 2 New 2020 Cpt Codes Musculoskeletal System Hiacode Com

Addressing Faqs Related To New Misunderstood Codes Today S Wound Clinic

Addressing Faqs Related To New Misunderstood Codes Today S Wound Clinic

Https Campus Ahima Org Campus Courses Cb Wcb508 12 Cpt Exercises Answerkey Pdf

Https Campus Ahima Org Campus Courses Cb Wcb508 12 Cpt Exercises Answerkey Pdf

Https Www Modahealth Com Pdfs Medical Moda Medicare External Pa List Pdf

Https Www Modahealth Com Pdfs Medical Moda Medicare External Pa List Pdf

Anesthesia For Labor And Delivery

Anesthesia For Labor And Delivery

Endoscopic Gerd Therapy A Primer For The Transoral Incisionless Fundoplication Procedure Gastrointestinal Endoscopy

Endoscopic Gerd Therapy A Primer For The Transoral Incisionless Fundoplication Procedure Gastrointestinal Endoscopy

Http Www Durbinglobal Com Assets Templates Assets Uploads Mva Presentation Jf 2015 Pdf

Http Www Durbinglobal Com Assets Templates Assets Uploads Mva Presentation Jf 2015 Pdf

Pdac Correct Coding Definitions Used For Off The Shelf Versus Custom Fitted Prefabricated Orthotics Braces Revised

Pdac Correct Coding Definitions Used For Off The Shelf Versus Custom Fitted Prefabricated Orthotics Braces Revised

Federal Register Medicare Program Revisions To Payment Policies Under The Physician Fee Schedule And Other Revisions To Part B For Cy 2016

Federal Register Medicare Program Revisions To Payment Policies Under The Physician Fee Schedule And Other Revisions To Part B For Cy 2016

79 Fr 67547 2014 26183 Medicare Program Revisions To Payment Policies Under The Physician Fee Schedule Clinical Laboratory Fee Schedule Access To Identifiable Data For The Center For Medicare And Medicaid Innovation Models

79 Fr 67547 2014 26183 Medicare Program Revisions To Payment Policies Under The Physician Fee Schedule Clinical Laboratory Fee Schedule Access To Identifiable Data For The Center For Medicare And Medicaid Innovation Models

Plastic Mva Kit Manual Vacuum Aspiration Cpt Code For Wholesales Buy Ipas Mva Kit Manual Vacuum Aspiration Cpt Code Manual Uterine Aspirator Product On Alibaba Com

Plastic Mva Kit Manual Vacuum Aspiration Cpt Code For Wholesales Buy Ipas Mva Kit Manual Vacuum Aspiration Cpt Code Manual Uterine Aspirator Product On Alibaba Com

2

2

Manual Vacuum Aspirator Devices Manual Uterine Aspirator For Wholesales Buy Mva Estore Manual Vacuum Aspiration Manual Vacuum Aspiration Cpt Code Product On Alibaba Com

Manual Vacuum Aspirator Devices Manual Uterine Aspirator For Wholesales Buy Mva Estore Manual Vacuum Aspiration Manual Vacuum Aspiration Cpt Code Product On Alibaba Com

Sccm Wound Care Coding

Sccm Wound Care Coding

Https Www Aota Org Media Corporate Files Publications Ce Articles Ce Article December 2016 Pdf

Https Www Aota Org Media Corporate Files Publications Ce Articles Ce Article December 2016 Pdf

Table Of Contents

Table Of Contents

Https Www Molinahealthcare Com Providers Oh Medicaid Manual Pdf Manual Oh Claims And Encounter Data 05 2013 Pdf

Https Www Molinahealthcare Com Providers Oh Medicaid Manual Pdf Manual Oh Claims And Encounter Data 05 2013 Pdf

Https Www Acro Org Wp Content Uploads 2016 06 Final 2017 Master Acro Billing And Coding Guide Pdf

Https Www Acro Org Wp Content Uploads 2016 06 Final 2017 Master Acro Billing And Coding Guide Pdf

Cpt Code List

Cpt Code List

Plastic Mva Kit Manual Vacuum Aspiration Cpt Code For Wholesales Buy Ipas Mva Kit Manual Vacuum Aspiration Cpt Code Manual Uterine Aspirator Product On Alibaba Com

Plastic Mva Kit Manual Vacuum Aspiration Cpt Code For Wholesales Buy Ipas Mva Kit Manual Vacuum Aspiration Cpt Code Manual Uterine Aspirator Product On Alibaba Com

Sccm Wound Care Coding

Sccm Wound Care Coding

Http Www Durbinglobal Com Assets Templates Assets Uploads Mva Presentation Jf 2015 Pdf

Http Www Durbinglobal Com Assets Templates Assets Uploads Mva Presentation Jf 2015 Pdf

Http Www Cms Hhs Gov Transmittals Downloads R1882cp Pdf

Http Www Cms Hhs Gov Transmittals Downloads R1882cp Pdf

2020 Cpt Coding Changes The Bulletin

2020 Cpt Coding Changes The Bulletin

Federal Register Medicare Program Revisions To Payment Policies Under The Physician Fee Schedule And Other Revisions To Part B For Cy 2016

Federal Register Medicare Program Revisions To Payment Policies Under The Physician Fee Schedule And Other Revisions To Part B For Cy 2016

Https Reliancemm Com Wp Content Uploads 2018 06 Cigna Global Maternity Obstetric Package Pdf

Https Reliancemm Com Wp Content Uploads 2018 06 Cigna Global Maternity Obstetric Package Pdf

Is It Possible To Make Ob Coding Less Complicated Contemporary Ob Gyn

Is It Possible To Make Ob Coding Less Complicated Contemporary Ob Gyn

Https Encrypted Tbn0 Gstatic Com Images Q Tbn 3aand9gcqlaafhfzie3528bwkh4y Uouadzt7icwnopbikdjudn R4f N Usqp Cau

Https Encrypted Tbn0 Gstatic Com Images Q Tbn 3aand9gcqlaafhfzie3528bwkh4y Uouadzt7icwnopbikdjudn R4f N Usqp Cau

Coding And Documentation For Resident Education Ppt Download

Coding And Documentation For Resident Education Ppt Download

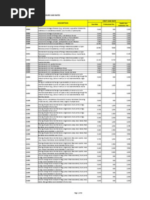
Http Www Philhealth Gov Ph Circulars 2015 Annexes Circ08 2014 Annex2 Listofprocedurecaseratesrevision1 Pdf

Http Www Philhealth Gov Ph Circulars 2015 Annexes Circ08 2014 Annex2 Listofprocedurecaseratesrevision1 Pdf

Federal Register Medicare Program Cy 2020 Revisions To Payment Policies Under The Physician Fee Schedule And Other Changes To Part B Payment Policies Medicare Shared Savings Program Requirements Medicaid Promoting Interoperability

Federal Register Medicare Program Cy 2020 Revisions To Payment Policies Under The Physician Fee Schedule And Other Changes To Part B Payment Policies Medicare Shared Savings Program Requirements Medicaid Promoting Interoperability

Http Www Va Gov Cbo Apps Rates Disclaimer Viewfile Asp Tbl Id 186 Ver Id 36 Mode 1 Cfid 24979 Cftoken 965a2f7a0f247493 8ee4766b A1a8 B0ce C005cef04990489d C2 A0

Http Www Va Gov Cbo Apps Rates Disclaimer Viewfile Asp Tbl Id 186 Ver Id 36 Mode 1 Cfid 24979 Cftoken 965a2f7a0f247493 8ee4766b A1a8 B0ce C005cef04990489d C2 A0

2

2

2020 Cpt Coding Changes The Bulletin

2020 Cpt Coding Changes The Bulletin

Plastic Mva Kit Manual Vacuum Aspiration Cpt Code For Wholesales Buy Ipas Mva Kit Manual Vacuum Aspiration Cpt Code Manual Uterine Aspirator Product On Alibaba Com

Plastic Mva Kit Manual Vacuum Aspiration Cpt Code For Wholesales Buy Ipas Mva Kit Manual Vacuum Aspiration Cpt Code Manual Uterine Aspirator Product On Alibaba Com

Https Ilinkblue Bcbsla Com Content Pdfs 1500 20professional 20claims 20entry Manual Pdf

Https Ilinkblue Bcbsla Com Content Pdfs 1500 20professional 20claims 20entry Manual Pdf

2

2

Medical Coding Billing Tools Cpt Icd 10 Hcpcs Codes Modifiers Supercoder

Medical Coding Billing Tools Cpt Icd 10 Hcpcs Codes Modifiers Supercoder

Tips For Incision And Drainage Procedures Today S Hospitalist

Tips For Incision And Drainage Procedures Today S Hospitalist

2020 Cpt Coding Changes The Bulletin

2020 Cpt Coding Changes The Bulletin

Https Www Jvascsurg Org Article S0741 5214 10 00782 2 Pdf

Https Www Jvascsurg Org Article S0741 5214 10 00782 2 Pdf

Sccm Wound Care Coding

Sccm Wound Care Coding

Reproductive Health Access Project Coding For Manual Vacuum Aspiration Abortion Reproductive Health Access Project

Reproductive Health Access Project Coding For Manual Vacuum Aspiration Abortion Reproductive Health Access Project

Https Bcbsla Com Web Reddotcm Files Profmanual Pdf

Https Bcbsla Com Web Reddotcm Files Profmanual Pdf

Manual Vacuum Aspiration Mva Abortion Springerlink

Manual Vacuum Aspiration Mva Abortion Springerlink

Https Apps Para Hcfs Com Pde Documents Para Woundcarechargeprocess July 2011 Pdf

Https Apps Para Hcfs Com Pde Documents Para Woundcarechargeprocess July 2011 Pdf

Manual Vacuum Aspiration Mva Abortion Springerlink

Manual Vacuum Aspiration Mva Abortion Springerlink

Https Www Bartletthospital Org Media 37604 Cdm 1119 Pdf

Https Www Bartletthospital Org Media 37604 Cdm 1119 Pdf

Http Hcmarketplace Com Supplemental 2600 Acmaterials Pdf

Http Hcmarketplace Com Supplemental 2600 Acmaterials Pdf

2020 Drug Test Billing Codes Medical Distribution Group Inc

2020 Drug Test Billing Codes Medical Distribution Group Inc

Philhealth Circular No 0035 S 2013 Annex 2 List Of Procedure Case Rates Breast Biopsy

Philhealth Circular No 0035 S 2013 Annex 2 List Of Procedure Case Rates Breast Biopsy

Https Www Sts Org Sites Default Files Documents Gtsd 20training 20manual August 202017 Pdf

Https Www Sts Org Sites Default Files Documents Gtsd 20training 20manual August 202017 Pdf

Obstetrical Services Policy Pdf Free Download

Obstetrical Services Policy Pdf Free Download

Solutions Manual For 3 2 1 Code It 5th Edition By Green By Cndps52 Issuu

Solutions Manual For 3 2 1 Code It 5th Edition By Green By Cndps52 Issuu

Https Encrypted Tbn0 Gstatic Com Images Q Tbn 3aand9gcrkynvivi1igf Ddlnqpr5aykdvax6aj9vovrxs7 Nmf5gmgjyz Usqp Cau

Https Encrypted Tbn0 Gstatic Com Images Q Tbn 3aand9gcrkynvivi1igf Ddlnqpr5aykdvax6aj9vovrxs7 Nmf5gmgjyz Usqp Cau

Philhealth Circular No 0035 S 2013 Annex 2 List Of Procedure Case Rates Breast Biopsy

Philhealth Circular No 0035 S 2013 Annex 2 List Of Procedure Case Rates Breast Biopsy

Maternal And Procedural Factors Associated With Estimated Blood Loss In Second Trimester Surgical Uterine Evacuation A Retrospective Cohort Analysis Sciencedirect

Maternal And Procedural Factors Associated With Estimated Blood Loss In Second Trimester Surgical Uterine Evacuation A Retrospective Cohort Analysis Sciencedirect

Https Hologiced Com Wp Content Uploads 2018 08 Myo 5016 In Office Startup Guide V13 Pdf

Https Hologiced Com Wp Content Uploads 2018 08 Myo 5016 In Office Startup Guide V13 Pdf

Http Www Va Gov Cbo Apps Rates Disclaimer Viewfile Asp Tbl Id 191 Ver Id 36 Mode 1

Http Www Va Gov Cbo Apps Rates Disclaimer Viewfile Asp Tbl Id 191 Ver Id 36 Mode 1

New Design Manual Vacuum Aspiration Cpt Code Manual Uterine Aspirator Buy Manual Vacuum Aspiration Cpt Code Manual Uterine Aspirator Mva Abortion Procedure Product On Alibaba Com

New Design Manual Vacuum Aspiration Cpt Code Manual Uterine Aspirator Buy Manual Vacuum Aspiration Cpt Code Manual Uterine Aspirator Mva Abortion Procedure Product On Alibaba Com

Https Encrypted Tbn0 Gstatic Com Images Q Tbn 3aand9gcqh 44hoo8lh8ryqbrfh7gkklpplet6dkba8h5gwbsw5jmynky Usqp Cau

Https Encrypted Tbn0 Gstatic Com Images Q Tbn 3aand9gcqh 44hoo8lh8ryqbrfh7gkklpplet6dkba8h5gwbsw5jmynky Usqp Cau

Encounter Keys 2005 11 12 Arizona State Government Publications Arizona Memory Project

Encounter Keys 2005 11 12 Arizona State Government Publications Arizona Memory Project

Http Www Durbinglobal Com Assets Templates Assets Uploads Mva Presentation Jf 2015 Pdf

Http Www Durbinglobal Com Assets Templates Assets Uploads Mva Presentation Jf 2015 Pdf

Phenolic Composition Antioxidant Capacity And Hexanal Content Of Hazelnuts Corylus Avellana L As Affected By Different Storage Conditions Sciencedirect

Phenolic Composition Antioxidant Capacity And Hexanal Content Of Hazelnuts Corylus Avellana L As Affected By Different Storage Conditions Sciencedirect

New Design Manual Vacuum Aspiration Cpt Code Manual Uterine Aspirator Buy Manual Vacuum Aspiration Cpt Code Manual Uterine Aspirator Mva Abortion Procedure Product On Alibaba Com

New Design Manual Vacuum Aspiration Cpt Code Manual Uterine Aspirator Buy Manual Vacuum Aspiration Cpt Code Manual Uterine Aspirator Mva Abortion Procedure Product On Alibaba Com

Sccm Wound Care Coding

Sccm Wound Care Coding

Https Www Cms Gov Regulations And Guidance Guidance Transmittals Downloads R3153cp Pdf

Https Www Cms Gov Regulations And Guidance Guidance Transmittals Downloads R3153cp Pdf

2

2

Http Hscrc Maryland Gov Documents Hospitals Compliance Accountingbudgetmanual 8 1 09 Section700appx D Final08 01 09 Pdf

Http Hscrc Maryland Gov Documents Hospitals Compliance Accountingbudgetmanual 8 1 09 Section700appx D Final08 01 09 Pdf

Https Hologiced Com Wp Content Uploads 2018 08 Myo 5016 In Office Startup Guide V13 Pdf

Https Hologiced Com Wp Content Uploads 2018 08 Myo 5016 In Office Startup Guide V13 Pdf

Plastic Mva Kit Manual Vacuum Aspiration Cpt Code For Wholesales Buy Ipas Mva Kit Manual Vacuum Aspiration Cpt Code Manual Uterine Aspirator Product On Alibaba Com

Plastic Mva Kit Manual Vacuum Aspiration Cpt Code For Wholesales Buy Ipas Mva Kit Manual Vacuum Aspiration Cpt Code Manual Uterine Aspirator Product On Alibaba Com

The Following Cpt 2015 Cpt Codes For Occupational Therapy

The Following Cpt 2015 Cpt Codes For Occupational Therapy